Ejercicios
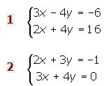
Resolver Por Metodo De Reduccion

Resolver Por Metodo De Sustitucion

Resolver Por Metodo De igualacion

Resolver Por Metodo De Gauss
.jpg)
Resolver Por Metodo De Grafica


Bienvenid@s !!
Daniela Amaya
Resolver Por Metodo De Reduccion

Resolver Por Metodo De Sustitucion

Resolver Por Metodo De igualacion

Resolver Por Metodo De Gauss
.jpg)
Resolver Por Metodo De Grafica


© 2013 Todos los derechos reservados.